Investment Performance May 2008 (+1.39%)
This is an ongoing monthly update on how our equity investments are performing. Please see this background on the investment tool I developed and how I am using it to track our performance against a benchmark to measure our progress or lack thereof.
Its still a work in progress, any feedback is appreciated and may be incorporated into future monthly reports. The only equity investments not covered are:
1) my 401k which is invested in institutional index funds through my employer that I haven't found a tracking symbol for.
2) investments roughly worth less than $500, simply because I don't have the time and energy to keep up with them. I am thinking I will sell these off at some point and add the proceeds to my current investment portfolio because they are too much work to track.
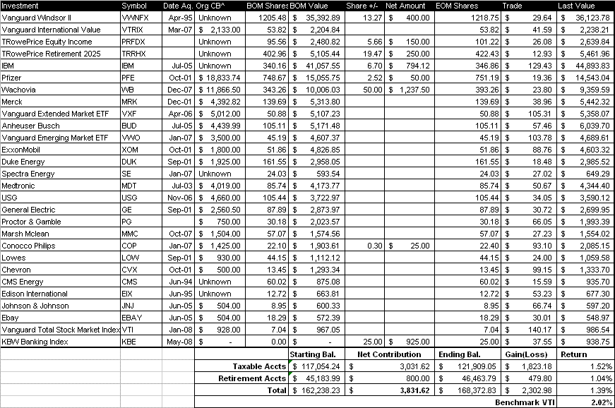
May Highlights:
- I have been able to fill in more of the 'Date Acquired' column which is the date of the initial purchase of at least part of this investment. I still have some more work to do to finish up the acquisition date and the cost basis information.
- We bought more into the financial industry with additional investments in Wachovia and an initial investment in the KBW Banking Index ETF.
- Remaining investments have be part of our ongoing monthly investments - Pfizer DRIP ($50), ConoccoPhilips ($25), IBM ESPP (payroll deductions), and Roth IRA ($800) contributions for my wife and I. Pretty self-explanatory.
- IBM has performed well. I nearly sold 100 shares of IBM at the end of the month, but hesitated. Its on my list this month to complete the sale and use some of the proceeds for our home savings goal and the remainder will likely be moved into the Vanguard Total Stock Market Index ETF.
May 2008 Investment Report:
Related in Stocks:
Chairmen Letters to Shareholders (Mar 09, 2014) Its that time of year again --the close of fiscal years means an overload of annual reports including Letters to Shareholders. Two annual letters that I read each year are those from Berkshire Hathaway (Warren Buffet) and Fairfax Financial (Prem...
Investment Performance January 2014 (-2.94%) (Feb 23, 2014) January 2014 Investment Report: January Highlights: January was a bad way to start out the year, but our portfolio performed slightly better thank our benchmark (-2.94% vs -3.17%). We made our regular monthly investments in our Roth IRAs, and some...
Investment Performance December 2013 (+2.20%) (Jan 10, 2014) December 2013 Investment Report: December Highlights: December was another subpar for us as our portfolio performed poorly compared to our benchmark (+2.20% vs +2.58%). We made our regular monthly investments in our Roth IRAs, and some dividends & dividend reinvestments....


Comments (10)
You added more to a Wachovia holding?
Please please please do some due diligence...They have made some of the worst banking decisions with their investment vehicles. I don't have time to walk you or anyone else through the subtleties, but I'll give you one word: DEFAULTS.
This summer is going to slaughter them, and could potentially make them the next bank to fail...
Think it couldn't happen? Do some due diligence on why how over-extended they are mortgage backed investments and give me 1 good reason to hold this stock.
Good luck.
Posted by concerned | June 4, 2008 8:10 PM
Ok, because you really struck a chord with me, I'll give you an expert opinion on this stock.
You have to understand that WB was created through a series of poorly conceived acquisitions....Corestates, Wachovia and Golden West. Those acquisitions loaded the balance sheet with approximately $43 billion of goodwill. This goodwill will have to be written down (not written off but written down) by year end because their auditors will not permit them to hold these intangible assets at book. Then there is the problem of their financial exposure to california real estate (Golden West) and much of their exposure comes in the form of ALT-A and other misconceived mortgage structures. They also have a consumer exposure that is in deterioration and FINALLY, their commercial portfolio is starting to roll over. Therefore this company is likely to trade at 1.0x's TANGIBLE book or close to it because the "going concern" value of their intangibles is not just in question at this point, IT IS DEMONSTRABLY IMPAIRED.
THEREFORE: If you give WB the benefit of the doubt and impair their Intangibles by 40%, you reduce their value to $25 billion. If you further assume just a 3% "hit" to their investment portfolio, you get a "hit" of approximately $20 billion for a grand total of just over $45 billion in charges. This is not at all unreasonable. Adjusting for that, it renders a STATED BOOK INCLUDING INTANGIBLES of around $33 Billion, or, $16.75 per share. Should you not include intangibles and merely calculate "hard" or TANGIBLE BOOK its worse than a WIPEOUT because you get NEGATIVE $12 billion in tangible book.
To sum up....BEST CASE $16.75 and WORST CASE of something below $10 per share (maybe around$5 to $8 per share) in a liquidation to another bank (who that might be in the current environment is hard to say since so many are capital constrained themselves at the moment).
Lastly, your "last price" is way off inside your tracking sheet...It is nearly $2 higher than today's close.
You're already down close to 3K...I'll definitely loes faith in your ability to invest if you don't take the tax loss and find a better long term investment that will help you reach your goal.
-concerned
Posted by concerned | June 4, 2008 8:24 PM
Wachovia is in trouble more because of its write downs due to the ill-timed Golden West acquisition for $25 billion at the peak of the market. This economic patch has brought far fewer banking failures than in the past. The Fed and Treasury have shown a willingness to stand behind large financial institutions using gov't money.
When the administration changes next January, the views of the new establishment will be a little different. Nevertheless, it is difficult to fathom a bank failure of the scale of Wachovia, the 4th largest bank after citi, jpm and boa. If this were to happen, I think it will not be just your Wachovia investment, but your entire portfolio that is at great risk.
On a final note, remember that if you are a net saver, you want a lower market, not a higher one. That way you get more shares for your money. You want a rising market when you are a net consumer, drawing down your investments. Buy low, sell high and best of luck to all seniors who are having a tough time in this environment.
Posted by ETFnerd | June 5, 2008 9:27 AM
Yes, someone who wants to maximize their chances at making money always wants to buy low/sell high.
I'm merely telling 2million to reevaluate his position on Wachovia & other dogs in his portfolio.
Noone will ever bat 1.000, but there's a huge difference in long-term gains when you bat .400 vs .300.
Just trying to be helpful...Not do any scaremongering or criticism...His reaction of "hold until the cows come home" was a strategy that worked early in this century, and in the internet bubble. Every great "investor" must buy/sell...I've only see him add to positions, NOT close them out to rebalance.
Posted by concerned | June 5, 2008 12:36 PM
2mil - can't you just use the ticker for your 401k holdings?
I'll never cease to be amazed by your many immaterial holdings.
Posted by CPA1298 | June 5, 2008 6:48 PM
Wow -- appreciate the great comments.
-My initial assertions with Wachovia have fallen through. I really need to reevaluate the business, although I am upbeat there is long term value there.
-401k offerings do not have ticker symbols. I still don't understand fully, but they are private funds managed by folks like Vanguard.
-I absolutely have a problem selling. Need to work on that -- I buy and hold forever with just about everything.
Posted by 2million | June 5, 2008 8:44 PM
Hi concerned, I didn't read your post prior to putting up my post, so I wasn't criticizing you :). I actually appreciate your thorough analysis.
I think tax loss harvesting is essential. I also think the fact that 2mil can take depreciation on his rental properties is important because this can offset taxes on sales of securities. I hope that you are expensing everything you can against your rental income.
2mil, I think a discussion of tax strategies is important. I'd be interested in what your marginal and effective tax rate is. I probably have over 2x your combined income, and 3x your income generating assets, but my marginal tax rate is 15% (just almost to the limit but just short of the 25% bracket, not by accident) and my effective tax rate is ~14% including OASDI, Medicare and property taxes but not including sales and excise taxes. Needless to say, I engage in extensive tax planning. Take every deferral, deduction, credit and structure your finances to take in every dollar that uncle sam offers you. Tax planning amounts to another hill of beans worth developing because it really adds up in the long run.
Often I feel like I'm not paying my fair share of the tax burden, but Congress writes the tax laws and the IRS has never complained that I owe in excess of what I pay. The IRS is the first to say that I owe what I owe, not what I think I owe. That works out great for me.
Posted by ETFnerd | June 6, 2008 9:47 AM
2mil, I use yodlee as I've said a few times before. Yodlee is able to update pricing information for the underlying investments in my Fidelity 401k and even the equity portfolio in my vanguard annuity. There is a security identifier but these are sometimes hard to find.
In terms of buy and hold forever, there is an easy way to remedy this. If you rebalance into index funds, they automatically kick out the losers periodically. I would look into the Fidelity Spartan index funds. If you rebalance with a $100,000 buy-in, your TER is 7bp for the advantage class shares which is a real good deal. I think flagship at VG has higher requirements to qualify for discounted TER. If you have less than that in a retirement account, then the regular class is fine. The Spartans are cheaper and at higher balances the difference is noticeable and remember that needless annual expenses paid compound over the life of the investment.
Posted by ETFnerd | June 6, 2008 10:01 AM
I have a suggestion if you want to own a bank stock. Take your Wachovia money and buy US Bancorp (USB). It's the safest large bank at the moment (low mortgage exposure) and has a 5+% yield.
Posted by Kevin | June 6, 2008 6:47 PM
2Million -- To follow on ETFNerd's comments, you should consider consolidating your equity assets in a handful of low-cost index funds or ETFs and maintain a target allocation by adding to holdings that are down in value and rebalancing periodically (harder with ETFs). Getting away from individual stocks will free you from the dilemmas of when to buy/sell and the added risk that comes with having disproportionate assets in single companies (like IBM, WB). The evidence is convincing that indexing wins in the long run (Read William Bernstein, David Swensen, or John Bogle). Plus, an index fund portfolio with a target allocation takes much less precious time to manage than 20+ stocks. And there are no dilemmas of when to sell. I know it's hard to part with all those individual stocks, some of which you've been tracking for years - they are like your babies. But, one big reason index fund investors do better is they are free from emotional attachment to their investments. It's easy to get attached to a stock - its a company, you see their ads on tv, you buy their products, you research their financial flows. But, nobody "feels" anything for a stock index, so it's easier to manage according to plan. Also, take a look at the expense ratios of the TRowePrice funds you own. A Vanguard value-oriented index fund will likely perform better than EquityIncome over time and saves you 50bp in expenses. Congrats on your ability to add to your investments!
Posted by Financial Expat | June 7, 2008 9:00 AM