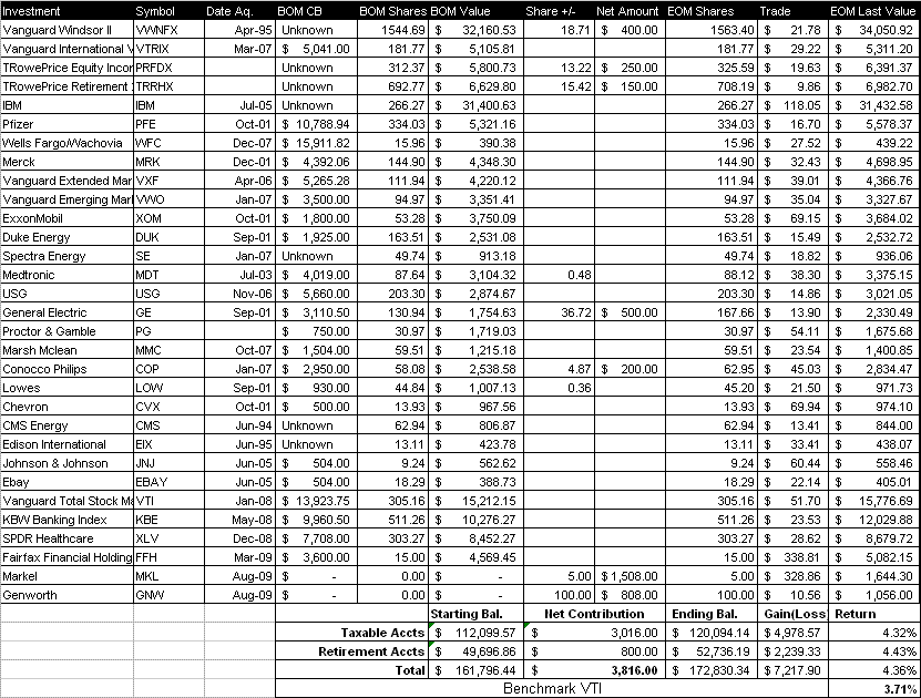
Investment Performance August 2009 (+4.36%)
This is an ongoing monthly update on how our equity investments are performing. Please see this background on the investment tool I developed and how I am using it to track our performance against a benchmark to measure our progress or lack thereof.
Its still a work in progress, any feedback is appreciated and may be incorporated into future monthly reports. The only equity investments not covered are:
1) my 401k which is invested in institutional index funds through my employer that I haven't found a tracking symbol for.
2) investments roughly worth less than $500, simply because I don't have the time and energy to keep up with them. I am thinking I will sell these off at some point and add the proceeds to my current investment portfolio because they are too much work to track.
August Highlights:
- We faired well in August as we again beat our benchmark (although not significantly).
- Im feeling more confident in my investing prowess with my investment in Fairfax Financial. However these days my guess is its hard to pick a bad stock since the general market is up significantly since March.
- As I stated in May I feel that I have been hesitant to throw a lot of additional capital into my investments since the market has seen strong gains since March. That said I did make a few investments with fresh capital this month.
- I added $500 to my GE holdings and started positions in Genworth and Markel.
- My monthly returns for 2009: Jan -4.98%, Feb -9.94%, Mar +8.45%, Apr +10.88%, May +4.65%, Jun +0.89%, Jul +9.94%, Aug +4.36%.....
August 2009 Investment Report:
Related in Stocks:
Chairmen Letters to Shareholders (Mar 09, 2014) Its that time of year again --the close of fiscal years means an overload of annual reports including Letters to Shareholders. Two annual letters that I read each year are those from Berkshire Hathaway (Warren Buffet) and Fairfax Financial (Prem...
Investment Performance January 2014 (-2.94%) (Feb 23, 2014) January 2014 Investment Report: January Highlights: January was a bad way to start out the year, but our portfolio performed slightly better thank our benchmark (-2.94% vs -3.17%). We made our regular monthly investments in our Roth IRAs, and some...
Investment Performance December 2013 (+2.20%) (Jan 10, 2014) December 2013 Investment Report: December Highlights: December was another subpar for us as our portfolio performed poorly compared to our benchmark (+2.20% vs +2.58%). We made our regular monthly investments in our Roth IRAs, and some dividends & dividend reinvestments....


Comments (1)
Why not sell some of the positions with significant losses for tax reasons? For example PFE or WFC? Or are these in retirement accounts?
Posted by York | September 22, 2009 8:13 PM